
Single Oral Dose Toxicity Evaluation of the Aqueous Extract of Bombycis Faeces in Sprague-Dawley Rats
This is an open access article distributed under the terms of the Creative Commons Attribution Non-Commercial License (http://creativecommons.org/licenses/by-nc/3.0/) which permits unrestricted non-commercial use, distribution, and reproduction in any medium, provided the original work is properly cited.
Abstract
Bombycis feces (dried feces of silkworms; Bombyx mori L.) are traditionally used in Korean and East Asian medicine to treat conditions including sensory disturbances, itching, and headaches. Recent studies have demonstrated pharmacological activities including anti-inflammatory, antioxidant, and neuroprotective effects. However, toxicological evidence supporting its safety is currently sparse. We aimed to evaluate the acute oral toxicity of an aqueous extract of Bombycis feces in Sprague-Dawley rats, following OECD guidelines.
Forty rats (20 males and 20 females) were randomly assigned to receive a single oral dose of the extract at 0 (control), 500, 1000, or 2000 mg/kg. The animals were observed for 14 days to assess clinical signs, mortality, body weight changes, and hematological parameters. No mortality or clinical signs of toxicity were observed in any group. Normal body weight gain occurred in both sexes, and macroscopic examination revealed no treatment-related organ abnormalities. Hematological parameters remained within physiological ranges in males. Although not clinically relevant, monocyte counts increased significantly in female rats in all treated groups (p < 0.01).
Aqueous extract of Bombycis Faeces was well tolerated at doses up to 2000 mg/kg, indicating negligible acute toxicity. Collectively, these findings provide foundational safety data to support further development of Bombycis Faeces-based pharmaceutical and nutraceutical products.
Keywords:
Bombyx mori, Bombycis Faeces, LD50, OECD Guideline, Single Oral Dose ToxicityINTRODUCTION
Bombyx mori L., commonly known as the silkworm, is a lepidopteran insect of immense economic importance, traditionally valued for its central role in the global silk industry. Notably, silkworms have emerged as versatile resources with diverse applications in the food and pharmaceutical sectors (Kim and Koh, 2022). Various parts of the silkworm, including its cocoon, pupae, feces (Bombycis Faeces), and stiffened larvae (Bombyx Batryticatus), have been used in Korean medicine and other Asian medical systems to treat stroke, convulsions, skin diseases, and sensory disturbances (Kwon et al., 2021; Kim and Koh, 2022; Rodriguez-Ortiz et al., 2024). These diverse traditional applications highlight the silkworm’s significance as a valuable medicinal crop.
Importantly, the medicinal value of silkworms is strongly linked to their exclusive mulberry leaf diet. During digestion, silkworms efficiently absorb and biotransform secondary metabolites from mulberry leaves, such as flavonoids, amino acids, and fatty acids, into bioactive compounds (Li et al., 2021). These beneficial plant-derived compounds accumulate or are modified within the silkworm body. Given this unique pharmacological potential and historical medicinal use, silkworms are increasingly regarded as promising bioresources for the development of functional foods, herbal medicines, and biopharmaceutical products (Rodriguez-Ortiz et al., 2024; Aramani et al., 2025).
Bombycis Faeces, the faeces of silkworms, are a medicinal resource that has been used for centuries. Bombycis Faeces is used in Korean medicine to treat various diseases, including sensory disturbances and itching (Kwon et al., 2021). Recent studies have revealed the components and pharmacological efficacy of extracts of Bombycis Faeces. Bombycis Faeces demonstrated anti-migraine properties via phytol-mediated inhibition of Nav1.7 sodium channels in trigeminal ganglion neurons (Song et al., 2023). Additionally, Bombycis Faeces effectively ameliorated renal anemia in rats by regulating iron metabolism via hepcidin inhibition and promoting erythropoietin synthesis (Mei et al., 2021). Moreover, its anti-obesity (Lee et al., 2025) and antidiabetic (Matsuda et al., 2023) effects have been documented in the literature.
Overall, these diverse biological activities indicate that Bombycis Faeces has potential as a multi-target therapeutic agent for treating diseases. However, a comprehensive safety evaluation is necessary. Owing to the rapid increase in the use of natural products for health promotion, ensuring human safety has become increasingly important in recent years. Although traditional use provides valuable information, it differs from rigorous safety and efficacy validation according to modern scientific standards.
Therefore, in this study, we aimed to evaluate the single oral dose toxicity of aqueous extracts of Bombycis Faeces in rats according to the OECD guidelines. This study is expected to provide essential preclinical safety data to support the continued development of B. mori-based therapeutic agents, guide the establishment of safe dose ranges, and contribute to the scientific validation of this traditional medicine for modern pharmaceutical and nutraceutical applications.
MATERIALS AND METHODS
1. Test substances
Bombycis Faeces were purchased from Kwong-Mung-dang Company (Ulsan, Korea) and authenticated by Dr. Goya Choi of the Herbal Medicine Resources Research Center, Korea Institute of Oriental Medicine (Naju, Korea). A voucher specimen (medicinal ID: 2-18-0114) was deposited at the same institution. The Bombycis Faeces extract was prepared by refluxing in distilled water at 100 ± 2°C for 3 hours. The extract was subsequently filtered, concentrated using a rotary vacuum evaporator, and lyophilized (yield, 6.78%). Finally, the resulting powder was stored at 4°C until use (extract ID: 3-18-0044).
2. Animals
Male and female Sprague–Dawley (SD) rats (7-week-old) were purchased from Orient Bio (Seongnam, Korea) and acclimatized for 6 days. During the acclimatization and experimental periods, the animals had ad libitum access to tap water and standard rodent pellets (Teklad Certified Irradiated Global 18% Protein Rodent Diet; Envigo, USA). Rats were housed under controlled environmental conditions (temperature, 22 ± 2°C; relative humidity, 55 ± 10%; 12-h light/dark cycle). All animal procedures were approved by the Institutional Animal Care and Use Committee (IACUC) of Korea Conformity Laboratories (Incheon, Korea) in accordance with the Animal Protection Act of the Republic of Korea (approval no.: IA20-02462).
3. Experimental groups
Forty rats (20 males and 20 females) were randomly assigned to four groups (n = 10 per group; 5 males and 5 females): 0 (vehicle control), 500, 1000, and 2000 mg/kg oral doses of Bombycis Faeces extract.
4. Treatment administration
After a 4-h fasting period, the animals were orally gavaged with bombycis fecal extract or vehicle at the designated doses (10 mL/kg body weight). Notably, the administration volume was calculated based on the individual body weights on the day of dosing. Oral administration was selected because it reflected the intended clinical route of administration.
5. Clinical observations and mortality
All animals were observed for clinical signs immediately after dosing, and at 30min and 1, 2, 3, 4, 5, and 6 h after administration. Daily observations were conducted for 14 days to monitor clinical signs and mortality. Observations included posture, gait, coat condition, skin, eyes and pupils, mucous membranes, respiratory patterns, response to handling, and any convulsions, stereotypies, or abnormal behaviors.
6. Body weight measurement
Individual body weights were recorded immediately before administration and on days 1, 3, 7, and 14 after treatment.
7. Gross necropsy
On day 14, all surviving animals were anesthetized using isoflurane and euthanized by exsanguination of the abdominal aorta and posterior vena cava. A comprehensive macroscopic examination was performed on the external surface, cranial cavity, thoracic cavity, abdominal cavity, and their contents.
8. Hematological analysis
Blood samples were collected on day 14 under anesthesia for hematological analyses. Hematological parameters, including total white blood cell (WBC) count, differential WBC count, red blood cell (RBC) count, hemoglobin (Hb) level, hematocrit (HCT), mean corpuscular volume (MCV), mean corpuscular hemoglobin concentration (MCHC), and platelet (PLT) count, were measured using an ADVIA 2120i hematology analyzer (Siemens Ireland, Dublin, Ireland).
9. Statistical analysis
Data on body weight and hematological parameters were analyzed using one-way analysis of variance (ANOVA) followed by post hoc comparisons, where appropriate. All statistical analyses were performed using SPSS software (SPSS Inc., Chicago, IL, USA). Statistical significance was set at p < 0.05. All data are expressed as mean ± standard deviation (SD).
RESULTS
1. Mortality and clinical observations
No mortality was observed in any of the treatment groups during the 14-day observation period (Table 1). All animals (5/5 in each group of both sexes) survived until the scheduled termination date. Additionally, no abnormal clinical signs were detected in male or female rats at any dose (500, 1000, or 2000 mg/kg). All rats exhibited normal behavioral patterns, including normal posture, gait, coat condition, skin integrity, eye appearance, mucous membranes, and respiratory patterns. Moreover, no instances of lacrimation, convulsions, piloerection, diarrhea, stereotypical behavior, or other abnormal movements were observed in any of the groups.
2. Body weight
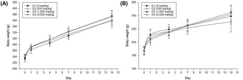
Body weight changes are shown in Fig. 1 and Table 2. In male rats, initial body weights ranged from 234.17 ± 11.78 to 240.32 ± 6.88 g across all groups, with no significant baseline differences observed. At day 14, body weight range increased to 360.15 ± 13.50 to 374.82 ± 17.89 g, representing weight gains of 120.29 ± 16.63 to 138.86 ± 17.80 g. Notably, the percentage weight gains in the 500, 1000, and 2000 mg/kg groups were 96.09, 96.21, and 99.20%, respectively, compared with that in the control group, indicating no treatment-related effects on body weight gain.
Changes in body weight of male (A) and female (B) Sprague-Dawley rats after single oral administration of Bombycis Faeces aqueous extract.Animals were administered a single dose of the extract at 0 (control, G1), 500 (G2), 1000 (G3), or 2000 mg/kg (G4) and monitored for 14 days. Body weight was measured on days 0, 1, 3, 7, and 14. Data are expressed as mean ± standard deviation (SD), n=5 per sex per group. No statistically significant differences in body weight or weight gain were observed among treatment groups in either sex throughout the study period (p > 0.05).
In female rats, initial body weights ranged from 186.33 ± 5.95 to 188.29 ± 5.56 g. However, the final weights on day 14 ranged from 230.80 ± 15.10 to 244.57 ± 10.36 g, representing weight gains of 42.51 ± 12.20 to 58.23 ± 5.08 g. Importantly, the percentage weight gains in the 500, 1000, and 2000 mg/kg groups were 96.62, 102.38, and 101.22%, respectively, compared with that in the control group. Collectively, these results indicate that there were no significant differences in body weight or weight gain, regardless of treatment or sex.
3. Macroscopic examination
Table 3 summarizes the gross necropsy findings. Notably, no treatment-related macroscopic abnormalities were detected in any of the examined organs. All animals in the dose groups showed normal gross findings for all organs examined, including the external surface and cranial, thoracic, and abdominal cavities. Collectively, these results indicate the absence of overt organ toxicity following a single oral administration of the extracts.
4. Hematological analysis
Tables 4 and 5 present the hematological parameters of male and female rats, respectively. In male rats, no significant changes in any of the hematological parameters were observed across all treatment groups compared with the control group. All measured parameters, including total and differential WBC counts, RBC parameters, and platelet counts, remained within the normal range.
In female rats, statistically significant increases were observed in absolute monocyte counts at all dose levels (500, 1000, and 2000 mg/kg) compared with those in the control group (p < 0.01). Monocyte percentages were significantly elevated in all treatment groups (p < 0.01). Specifically, the absolute monocyte count increased from 0.13 ± 0.04 K/μL in the control group to 0.23 ± 0.04, 0.19 ± 0.05, and 0.20 ± 0.02 K/μL in the 500, 1000 and 2000 mg/kg groups, respectively. Additionally, the monocyte percentage increased from 1.3 ± 0.3% in the control group to 2.7 ± 0.8, 2.3 ± 0.2, and 2.2 ± 0.4% in the 500, 1000 and 2000 mg/kg groups, respectively.
All other hematological parameters in female rats, including total WBC count, neutrophil count, RBC parameters (hemoglobin, hematocrit, MCV, MCH, and MCHC), and platelet count, showed no significant differences compared with those in the control group. Although statistically significant, the observed monocyte counts and percentages were within the normal physiological range in Sprague–Dawley rats.
DISCUSSION
To the best of our knowledge, this is the first study to comprehensively evaluate the single oral dose toxicity of aqueous extracts of Bombycis Faeces in Sprague–Dawley rats according to internationally recognized OECD guidelines. The extract was administered as single oral doses of 500, 1000, and 2000 mg/kg, and the animals were monitored for 14 days for clinical signs, body weight changes, gross pathological lesions, and hematological alterations. The extract did not induce mortality or any observable toxicological abnormalities up to the highest dose of 2000 mg/kg, indicating a favorable safety profile.
No mortality or clinical signs of toxicity were observed even at the highest dose of 2000 mg/kg, indicating that the LD50 is greater than 2000 mg/kg according to OECD guidelines. According to the Globally Harmonized System (GHS) for the classification and labeling of chemicals, substances with oral LD50 values > 2000 mg/kg are categorized as Category 5 or remain unclassified. This classification suggests that the extract possesses low single oral dose toxicity under the conditions of this study.
Body weight gain, a sensitive indicator of general health and systemic toxicity, proceeded normally in all animals. There were no significant differences between treated and control groups, suggesting that the extract did not adversely affect nutrient absorption, metabolism, or growth. In addition, no gross pathological changes were observed at necropsy, indicating that the extract did not cause acute organ damage or structural abnormalities in the major organ systems.
Hematological parameters remained within the physiological limits across all groups. While male rats showed no significant hematologic changes, female rats exhibited a statistically significant increase in monocyte counts across all treated groups. However, these increases were not dose-dependent and remained within the normal reference range for Sprague–Dawley rats (Han et al., 2010; He et al., 2017; Delwatta et al., 2018). Furthermore, no associated clinical symptoms or gross organ lesions were observed. Therefore, these changes were considered to be incidental biological variations rather than indicative of treatment-related toxicity or an adverse immunostimulatory response.
Previous studies have reported the pharmacological efficacy of Bombycis faecal extracts, including antioxidant, anti-inflammatory, hypolipidemic, and immunomodulatory properties (Ali et al., 2011; Wang et al., 2020; Zhang et al., 2020). However, toxicological validation of this extract remains limited. Our findings provide critical baseline data on the single oral dose toxicity of aqueous extracts of Bombycis Faeces and are consistent with previous studies reporting the low toxicity of sericin and fibroin-derived products (Yigit et al., 2021). Notably, the complex mixture of bioactive compounds in the whole extract, including flavonoids, sericin, and carotenoids, underscores the need to evaluate the full formulation rather than isolated components.
Limitations of this study include the single-dose design and the absence of histopathological examination, which restricts the depth of toxicological interpretation. Microscopic tissue alterations may occur without overt gross lesions. Therefore, future repeated-dose toxicity studies incorporating comprehensive histopathological evaluations, genotoxicity, and reproductive toxicity assessments are necessary to confirm these findings and establish a definitive safety profile.
In conclusion, the absence of mortality, clinical toxicity, and major hematological or pathological abnormalities at doses up to 2000mg/kg suggests that the aqueous extract of Bombycis Faeces has low single oral dose toxicity. Overall, this study provides essential toxicological evidence to support the future development of Bombyx mori-derived nutraceuticals and herbal medicinal products.
Acknowledgments
This research was supported by a grants from the Technology and Development of Sustainable Applications for Standard Herbal Resources (KSN1822320 and KSN2511030) from the Korea Institute of Oriental Medicine (KIOM) and the Regional Innovation System & Education(RISE) program through the Jeollanamdo RISE Center, funded by the Ministry of Education(MOE) and the Jeollanamdo, Republic of Korea. (2025-RISE-14-004). Additional support was provided by the Regional Innovation System & Education (RISE) program through the Gwangju RISE Center, funded by the Ministry of Education (MOE) and the Gwangju Metropolitan Government, Republic of Korea (2025-RISE-05-011).
References
-
Ali MM and Arumugam SBA. (2011). Effect of crude extract of Bombyx mori coccoons in hyperlipidemia and atherosclerosis. Journal of Ayurveda & Integrative Medicine. 2:72-78.
[https://doi.org/10.4103/0975-9476.82527]
-
Delwatta SL, Gunatilake M, Baumans V, Seneviratne MD, Dissanayaka MLB, Batagoda SS, Udagedara AH, Walpola PB. (2018). Reference values for selected hematological, biochemical and physiological parameters of Sprague‐Dawley rats at the Animal House, Faculty of Medicine, University of Colombo, Sri Lanka. Animal Models and Experimental Medicine. 1:250-254.
[https://doi.org/10.1002/ame2.12041]
-
Han ZZ, Xu HD, Kim KH, Ahn TH, Bae JS, Lee JY, Gil KH, Lee JY, Woo SJ, Yoo HJ, Lee HK, Kim KH, Park CK, Zhang HS and Song SW. (2010). Reference Data of the Main Physiological Parameters in Control Sprague-Dawley Rats from Pre-clinical Toxicity Studies. Laboratory Animal Research. 26:153-164.
[https://doi.org/10.5625/lar.2010.26.2.153]
-
He Q, Su G, Liu K, Zhang F, Jiang Y, Gao J, Liu L, Jiang Z, Jin M, Xie H. (2017). Sex-specific reference intervals of hematologic and biochemical analytes in Sprague-Dawley rats using the nonparametric rank percentile method. PLOS One. 12:e0189837. https://journals.plos.org/plosone/article?id=10.1371/journal.pone.0189837, (cited by 2025 Dec 17).
[https://doi.org/10.1371/journal.pone.0189837]
-
Kaveri A, Veenita MK, Sushmitha C, Tejaswini AS, Shravanilakshmi V and Vinayak M. (2025). Therapeutic Potential of the Silkworm(Bombyx mori L.): A Biomedical Perspective. Journal of Scientific Research and Reports. 31:512-521.
[https://doi.org/10.9734/jsrr/2025/v31i83395]
- Kim KY and Koh YG. (2022). The past, present and future of silkworm as a natural health food. Food Science and Industry. 55:154-165.
- Kwon DR, Oh MS, Boo YM, Seo BI and Choi HY. (2021). Herbology. Compilation Committee of National Universitiy of Korean Medicine. Yeonglimsa. Seoul, Korea. p.307-308.
-
Lee YK, Lyu JH, Shin UC, Muthamil S, Bae CH, Kim SW, Oh JM, Jang HJ and Park JH. (2025). Extract of Bombycis Feces suppressed 3T3-L1 adipogenesis resulting in the regulation of fatty acid-dependent energy consumption. Scientific Reports. 15:30419.
[https://doi.org/10.1038/s41598-025-14700-x]
-
Li M, Chen L, Dai Y, Li J, Li F, Li Q, Yu Z, Chai K and Zhu Y. (2021). Differential metabolomics and network pharmacology analysis of silkworm biotransformation between mulberry leaves and silkworm droppings. Evidence-Based Complementary and Alternative Medicine. 2021:8819538.
[https://doi.org/10.1155/2021/8819538]
-
Matsuda H, Nagatomo A, Hatakeyama M, Manse Y, Yoshikawa M and Morikawa T. (2023). Suppressive effects of Bombycis Feces(bombyx feces) and Bombyx Batryticatus(stiff silkworm) extracts on bloodglucose level elevation in disaccharides-loaded rats. Traditional & Kampo Medicine. 10:132-141. https://onlinelibrary.wiley.com/doi/abs/10.1002/tkm2.1368, (cited by 2025 Dec 17).
[https://doi.org/10.1002/tkm2.1368]
-
Mei H, Wu N, Huang X, Cui Z, Xu J, Yang X, Zeng F and Wang K. (2021). Possible mechanisms by which silkworm faeces extract ameliorates adenine-induced renal anaemia in rats. Journal of Ethnopharmacology. 266:113448.
[https://doi.org/10.1016/j.jep.2020.113448]
-
Rodríguez-Ortiz LM, Hincapié CA, Hincapié-Llanos GA and Osorio M. (2024). Potential uses of silkworm pupae(Bombyx mori L.) in food, feed, and other industries: a systematic review. Frontiers in Insect Science. 4:1445636. https://www.frontiersin.org/journals/insect-science/articles/10.3389/finsc.2024.1445636/full, (cited by 2025 Dec 17).
[https://doi.org/10.3389/finsc.2024.1445636]
-
Song J, Jiang M, Jin Y, Li H, Li Y, Liu Y, Yu H and Huang X. (2023). Phytol from Faeces Bombycis alleviated migraine pain by inhibiting Nav1.7 sodium channels. Annals of Palliative Medicine. 306:116161.
[https://doi.org/10.1016/j.jep.2023.116161]
-
Wang HY, Zhao JG and Zhang YQ. (2020). The flavonoid-rich ethanolic extract from the green cocoon shell of silkworm has excellent antioxidation, glucosidase inhibition, and cell protective effects in vitro. Food & Nutrition Research. 64:1637.
[https://doi.org/10.29219/fnr.v64.1637]
-
Yigit S, Hallaj NS, Sugarman JL, Chong LC, Roman SE, Abu-Taleb LM, Goodman RE, Johnson PE and Behrens AM. (2021). Toxicological assessment and food allergy of silk fibroin derived from Bombyx mori cocoons. Food and Chemical Toxicology. 151:112117.
[https://doi.org/10.1016/j.fct.2021.112117]
-
Zhang X, Guo K, Dong Z, Chen Z, Zhu H, Zhang Y, Xia Q and Zhao P. (2020). Kunitz-type protease inhibitor BmSPI51 plays an antifungal role in the silkworm cocoon. Insect Biochemistry and Molecular Biology. 116:103258.
[https://doi.org/10.1016/j.ibmb.2019.103258]
